Suggested review problems for Final:
9.92
9.93
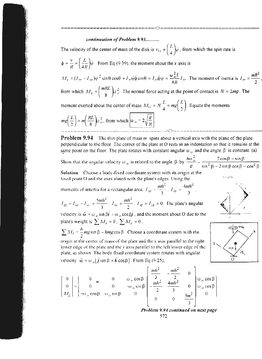
9.94
9.94 (cont.)
9.96
9.96 (cont.)